John W Pickering 27 June 2023

raptools

The raptools package contains functions for generating statistical metrics and visual means to assess the improvement in risk prediction of one risk model over another. It includes the Risk Assessment Plot (hence rap).

Installation

You can install the development version of raptools from GitHub with:

# install.packages("devtools")
devtools::install_github("Researchverse/raptools")

History and versions

raptools began as Matlab code in 2012 after I wrote a paper (1) for the Nephrology community on assessing the added value of one biomarker to a clinical prediction model. I worked with Professor Zoltan Endre on that paper. Dr David Cairns kindly provided some R code for the Risk Assessment Plot. This formed the basis of versions 0.1 to 0.4. Importantly, for those versions and the current version all errors are mine (sorry) and not those of Professor Endre or Dr Cairns. Since writing that paper I’ve come to consider some metrics as not helpful. So, for the current version I have dropped some statistical metrics that I believe are poor or wrongly applied. In particularly, I dropped providing the total NRI (Net Reclassification Improvement) and total IDI (Integrated Discrimination Improvement) metrics. These should never be presented because they inappropriately add together two fractions with differing denominators (NRI) or two means (IDI). Instead, these the NRIs and IDIs for those with and without the event of interest should be provided. Third, I have provided the change in AUCs rather than a p-value because the change is much more meaningful.

Version 1.03 were major changes:
* allowed as input logistic regression models from glm (stats) and lrm (rms) as well as risk predictions calculated elsewhere. * provided as outputs in addition to the Risk Assessment Plot, a form of calibration plot and decision curve.
* the output from the main functions CI.raplot, and CI.classNRI are now lists that include the metrics for each bootstrap sample as well as the summary metrics. CI.classNRI also produces confusion matrices for those with and without the event of interest (separately). Bootstrapping is used to determine confidence intervals.

Version 1.10 :
* addition of ROC plot. * calibration plot now uses (best practice) continuous curves (the old format is now “ggcalibrate_original()”).
* addition of precision recall curves. * all plots can be for one or two models.

Version 1.11:
* made NRI metrics for models optional (use NRI_return = TRUE) to get them. * changed behaviour to that “x2 = NULL” is possible for CI.raplot. It has the effect of creating a model where every probability is 0.5.
* bug fix.

Version 1.22 (current):
* addition of ggcontribute graph. * changed from geom_line to the geom_step for the ROC plot (because it represents the data better).
* bug fix.

Example 1

This is a basic example for assessing the difference between two logistic regression models:

library(dplyr)
library(raptools)

## basic example code

#### First make sure that data used has no missing values
df <- data_risk %>% 
  dplyr::filter(!is.na(baseline))%>% 
  dplyr::filter(!is.na(new))%>% 
  dplyr::filter(!is.na(outcome))

baseline_risk <- df$baseline    # or the baseline glm model itself
new_risk <- df$new              # or the new glm model itself
outcome <- df$outcome

assessment <- CI.raplot(x1 = baseline_risk, x2 = new_risk, y = outcome,
                        n.boot = 20, dp = 2) # Note the default is 1000 bootstraps (n.boot = 1000).  This can take quite some time to run, so when testing I use a smaller number of bootstraps.  

# View results  
## meta data  
(assessment$meta_data)
#>   Thresholds Confidence.interval Number.of.bootstraps Input.data.type
#> 1   baseline                  95                   20   User supplied
#>   X..decimal.places
#> 1                 2

## exact point estimates  
(assessment$Metrics)
#> $n
#> [1] 433
#> 
#> $n_event
#> [1] 86
#> 
#> $n_non_event
#> [1] 347
#> 
#> $Prevalence
#> [1] 0.1986143
#> 
#> $IDI_event
#> [1] 0.1363479
#> 
#> $IDI_nonevent
#> [1] 0.03397117
#> 
#> $IP_baseline
#> [1] 0.1849132
#> 
#> $IS_baseline
#> [1] 0.2516693
#> 
#> $IP_new
#> [1] 0.1504058
#> 
#> $IS_new
#> [1] 0.388494
#> 
#> $Brier_baseline
#> [1] 0.1500246
#> 
#> $Brier_new
#> [1] 0.123228
#> 
#> $Brier_skill
#> [1] 17.86145
#> 
#> $AUC_baseline
#> [1] 0.6823772
#> 
#> $AUC_new
#> [1] 0.8227331
#> 
#> $AUC_difference
#> [1] 0.1403559

## bootstrap derived metrics with confidence intervals  
(assessment$Summary_metrics)
#> # A tibble: 16 × 2
#>    metric         statistics                  
#>    <chr>          <chr>                       
#>  1 n              433 (CI: 433 to 433)        
#>  2 n_event        86.5 (CI: 70.43 to 99.25)   
#>  3 n_non_event    346.5 (CI: 333.75 to 362.58)
#>  4 Prevalence     0.2 (CI: 0.16 to 0.23)      
#>  5 IDI_event      0.13 (CI: 0.1 to 0.17)      
#>  6 IDI_nonevent   0.04 (CI: 0.02 to 0.05)     
#>  7 IP_baseline    0.19 (CI: 0.18 to 0.19)     
#>  8 IS_baseline    0.25 (CI: 0.23 to 0.27)     
#>  9 IP_new         0.15 (CI: 0.13 to 0.16)     
#> 10 IS_new         0.39 (CI: 0.34 to 0.42)     
#> 11 Brier_baseline 0.15 (CI: 0.13 to 0.17)     
#> 12 Brier_new      0.12 (CI: 0.11 to 0.14)     
#> 13 Brier_skill    16.37 (CI: 9.72 to 24.46)   
#> 14 AUC_baseline   0.68 (CI: 0.64 to 0.72)     
#> 15 AUC_new        0.83 (CI: 0.76 to 0.85)     
#> 16 AUC_difference 0.14 (CI: 0.11 to 0.19)

Graphical assessments

The Risk Assessment Plot

ggrap(x1 = baseline_risk, x2 = new_risk, y = outcome)


# for Single risks x2 = NULL

The calibration curve

ggcalibrate(x1 = baseline_risk, x2 = new_risk, y = outcome)

The original calibration curve

ggcalibrate_original(x1 = baseline_risk, x2 = new_risk, y = outcome,  cut_type = "interval")
#> $g

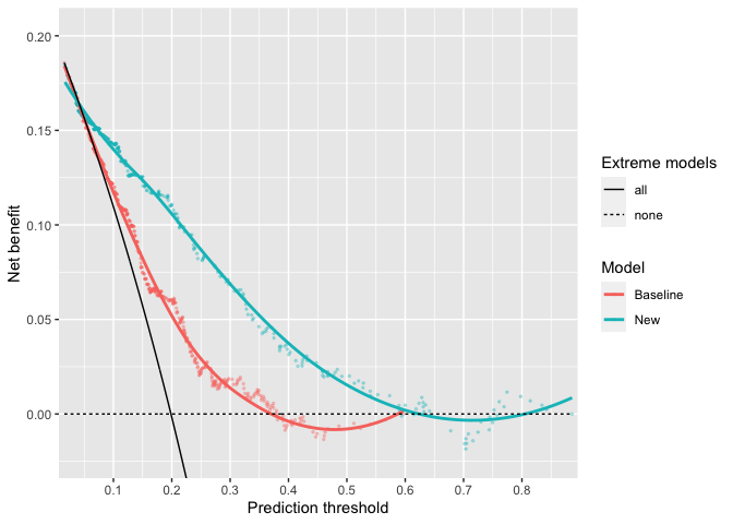
The decision curve

ggdecision(x1 = baseline_risk, x2 = new_risk, y = outcome)

The precision-recall curve

ggprerec(x1 = baseline_risk, x2 = new_risk, y = outcome)

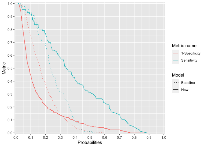
The roc plot

ggroc(x1 = baseline_risk, x2 = new_risk, y = outcome, carrington_line = TRUE)

Note, there are additional options for the ROC plot including labelling points and distinguishing areas of the plot that are diagnostic from those that are not.

The contribution plot

Thanks to Professor Frank Harrell for these plots.

load("inst/extdata/fit_example")
ggcontribute(x1 = eg_fit.glm)

Example 2

This is a basic example for assessing the difference in the results of reclassification:

## basic example code

baseline_class <- data_class$base_class
new_class <- data_class$new_class
outcome_class <- data_class$outcome

class_assessment <- CI.classNRI(c1 = baseline_class, c2 = new_class, y = outcome_class, 
                                n.boot = 20, dp = 2) # Note the default is 2000 bootstraps (n.boot = 2000).  This can take quite some time to run, so when testing I use a smaller number of bootstraps.  

# View results  
## meta data  
(class_assessment$meta_data)
#>   Confidence.interval Number.of.bootstraps X..decimal.places
#> 1                  95                   20                 2

## exact point estimates and confusion matrices
(class_assessment$Metrics)
#> $n
#> [1] 444
#> 
#> $n_event
#> [1] 62
#> 
#> $n_non_event
#> [1] 382
#> 
#> $Prevalence
#> [1] 0.1396396
#> 
#> $NRI_up_event
#> [1] 21
#> 
#> $NRI_up_nonevent
#> [1] 94
#> 
#> $NRI_down_event
#> [1] 5
#> 
#> $NRI_down_nonevent
#> [1] 71
#> 
#> $NRI_event
#> [1] 0.2580645
#> 
#> $NRI_nonevent
#> [1] -0.06020942
#> 
#> $wNRI_event
#> NULL
#> 
#> $wNRI_nonevent
#> NULL
#> 
#> $confusion.matrix_event
#>          New
#> Baseline  class_1 class_2 class_3 class_4 class_5 class_6
#>   class_1       0       0       0       0       0       0
#>   class_2       0       2       3       0       0       0
#>   class_3       0       1       0       2       0       0
#>   class_4       0       0       2       9      11       1
#>   class_5       0       0       0       2      25       4
#>   class_6       0       0       0       0       0       0
#> 
#> $confusion.matrix_nonevent
#>          New
#> Baseline  class_1 class_2 class_3 class_4 class_5 class_6
#>   class_1       0       0       0       0       0       0
#>   class_2       9      52      17       3       1       0
#>   class_3       2      29      66      44       3       0
#>   class_4       0       2      21      52      25       0
#>   class_5       0       0       0       8      47       1
#>   class_6       0       0       0       0       0       0

## bootstrap derived metrics with confidence intervals  
(class_assessment$Summary_metrics)
#> # A tibble: 10 × 2
#>    metric            statistics                
#>    <chr>             <chr>                     
#>  1 n                 444 (CI: 444 to 444)      
#>  2 n_event           62 (CI: 53.95 to 75.53)   
#>  3 n_non_event       382 (CI: 368.48 to 390.05)
#>  4 Prevalence        0.14 (CI: 0.12 to 0.17)   
#>  5 NRI_up_event      21 (CI: 15.95 to 29.52)   
#>  6 NRI_up_nonevent   90 (CI: 78 to 106.53)     
#>  7 NRI_down_event    6 (CI: 2.48 to 9)         
#>  8 NRI_down_nonevent 75 (CI: 55.48 to 86.57)   
#>  9 NRI_event         0.25 (CI: 0.16 to 0.38)   
#> 10 NRI_nonevent      -0.05 (CI: -0.12 to 0.01)